
نگاهی به موضوع رابطۀ تورم و افزایش دستمزد
شبگیر حسنی
دانش و مردم، شماره ۲۸، اسفند ۱۴۰۳
درآمد
با نزدیک شدن به روزهای پایانی سال، مجدداً شاهد برگزاری جلساتِ «سهجانبۀ» شورای عالی کار درخصوص تعیین دستمزد کارگران برای سال آتی هستیم. جلساتی که مطابقِ معمولِ سالیان اخیر تا روزهای پایانی سال به درازا میکشد و عملاً دیدگاههای مشترک نمایندۀ دولت- بزرگترین کارفرمای کشور- و نمایندۀ کارفرمایان را بدون توجه به استدلالهای طرفِ موسوم به نمایندۀ کارگران و حتی بعضاً بدون نیاز به جلب رضایت و اخذ امضای ایشان، به تصویب میرساند.
مادۀ 41 قانون کار نه تنها تعیین حداقل مزد کارگران را متناسب با درصد تورم اعلام شده از سوی بانک مرکزی جمهوری اسلامی ایران الزامی میداند، بلکه افزون بر آن، بر لزوم پرداخت دستمزد به نحوی تأکید دارد که میزان حداقل زندگی یک خانواده، که تعداد متوسط آن توسط مراجع رسمی اعلام میشود را تأمین نماید، اما نتیجۀ مذاکرات مذکور و تصمیمهای مشترک اعلام شده از سوی نمایندگان دولت و کارفرمایان در سالیان اخیر، چیزی به جز تعیین میزانی از حداقل دستمزد به مبلغی کمتر از نرخ رسمی تورم و نهایتاً نقض واضح نص صریح مادۀ 41 قانون کار نبوده است.
عمدۀ ادلۀ کارفرمایان – دولت و بخش خصوصی- برای نادیده گرفتن قانون، بر رابطۀ میان افزایش نرخ تورم و افزایش دستمزدها بنا شده است. در این نوشتار میکوشیم تا به بررسی موضوع تورم و میزان ارتباط آن به افزایش سطح دستمزدها بپردازیم. بدیهی است که استدلالهای متقابل طرفین منازعه، در چارچوب مناسبات اقتصادی حاکم و با رعایت قواعد اقتصادِ سیاسی سرمایهدارانه است و ما نیز بهناچار در همین ساختار به بررسی موضوع خواهیم پرداخت.
تورم چیست؟
تورم (Inflation) در علم اقتصاد به معنی افزایش مستمر و کلی در سطح قیمت کالاها و خدمات در یک بازه زمانی معین است. به عبارت دیگر، تورم کاهش قدرت خرید پول است، زیرا با گذشت زمان، برای خرید همان مقدار کالا یا خدمات، به پول بیشتری نیاز خواهد بود.
روش محاسبه نرخ تورم سالیانه
نرخ تورم معمولاً با استفاده از شاخص قیمت مصرفکننده (CPI – Consumer Price Index) محاسبه میشود. CPI معیاری است که تغییرات قیمت یک سبد مشخص از کالاها و خدمات مصرفی خانوارها را اندازهگیری میکند. گامهای محاسبه به صورت زیر است:
الف. انتخاب سبد کالاها و خدمات:
یک سبد استاندارد شامل کالاها و خدماتی که به طور معمول توسط خانوارها مصرف میشود (مثل مواد غذایی، مسکن، حملونقل و …) انتخاب و برای هر یک از کالاها یا خدمات یک ضریب وزنی درنظر گرفته میشود. بر اساس اطلاعات ارائه شده از سوی بانک مرکزی، کالاها و خدمات موجود در سبد تورم به چندین گروه اصلی نظیر «خوراکیها، آشامیدنیها و دخانیات»، «پوشاک و کفش»، «مسکن، سوخت و روشنایی»، «اثاث، کالاها و خدمات مورد استفاده در خانه»، «حمل و نقل و ارتباطات»، «درمان و بهداشت»، «تفریح و تحصیل و مطالعه» و «کالاها و خدمات متفرقه» تقسیم شدهاند که هر گروه دارای زیرگروههای متفاوتی نیز هست. شیوۀ گروهبندی بر اساس معیار موسوم به طبقهبندی coicop۱ انـجام میگیرد که نمونۀ آن در جدول زیر درج شده است.

جدول شمارۀ 1- سبد اقلام مصرفی خانوارها و ضرایب اهمیت
ب. جمعآوری قیمتها:
قیمت این کالاها و خدمات در دورههای مختلف (ماهانه، سالانه) جمعآوری میشود. جمع آوری اطلاعات مربوط به قیمت کالا ها و خدمات در همه شهرهای مورد بررسی از طریق مراجعه مستقیم آمارگیران صورت می گیرد. در واقع برای دستیابی به قیمت های واقعی، آمارگیران اقتصادی هر ماه به حدود ۴۰۰۰۰ منبع اطلاع مراجعه و قیمت جاری بیش از ۱۲۱۰۰۰ نمونه از کالاها و خدمات احصاء میگردد و در صورتی که قیمت کالا یا خدمتی در ماه قیمتگیری نسبت به ماه گذشته افزایش یا کاهش داشته باشد، دلایل این نوسان، بررسی و ثبت می شود.
ج. محاسبه شاخص قیمت:
شاخص قیمت مصرفکننده (CPI) برای هر دوره محاسبه میشود. یکی از نکاتی که باید در محاسبات مورد توجه قرار گیرد، تغییرات در اقلام سبد معیشت و نیز ضریب وزنی آنهاست؛ به عنوان مثال، ممکن است الگوی مصرف برای بعضی از اقلام سبد معیشت به مرور زمان تغییر نماید یا حتی استفاده از پارهای از کالاها/خدمات این سبد منسوخ شده و اقلام دیگری جایگزین آنها گردد. بنابراین لازم است تا این فهرست و ضرایب وزنی گروههای کالایی، نسبت به سال پایه، مورد بازبینی قرار گیرند. به عنوان مثال، افزایش میزان استفاده از اینترنت، افزایش اهمیت، ضریب نفوذ و تغییرات قیمت آن- ناشی از تکنولوژیهای جدیدتر و ارزانتر- از نمونههایی است که لازم است تا نسبت به سالِ پایۀ آماری – در زمان نگارش این مقاله: 1395- مورد ارزیابی مجدد قرار بگیرد. بنابراین اقتصاددانان، شاخصهای مختلفی را برای محاسبۀ قیمتها – بسته به مورد – به کار میگیرند که از جملۀ مشهورترین آنان میتوان به شاخصهای لاسپیرز، پاشه، فیشر و … اشاره نمود. در ایران محاسبه بر اساس شاخص لاسپیرزِ تعمیمیافته محاسبه میگردد. محاسبۀ شاخص قیمتِ مصرف کننده به صورت ماهیانه انـجام گرفته و بازۀ زمانی آن از ابتدای هر ماه شمسی تا پایان آن است.
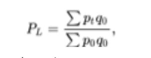
محدودۀ جغرافیایی بررسی شاخص و نیز تنوع خانوارهایی که محاسبۀ شاخص بر پایۀ دادههای مصرف آنان در نظر گرفته میشود، به میزان قابل توجهی تعیینکننده درجه درستی و اعتبار شاخص است. بدیهی است فرهنگ مصرفی وسلیقه افراد تا حدودی میتواند ناشی از شرایط اقلیمی وخصوصیات جغرافیایی هر منطقه باشد. فورمول محاسبۀ شاخص قیمت مصرف کنندۀ لاسپیرز به شرح زیر است:

که در آن p نمایانگر قیمت و q نشانۀ مقدار است. اندیس های 0 و t مربوط به سال پایه و سال مورد نظر در محاسبات هستند. استفاده از تعداد مصرف در سال پایه(q0) در صورت کسر به منظور یکسانسازی میزان مصرف برای سال مورد محاسبه و سال پایه است. به همین دلیل برای محاسبۀ شاخص لاسپیرز، تنها جمعآوری دادههای مربوط به قیمتها در هر سال کفایت میکند و نیازی به جمعآوری میزان تولید یا مصرف نیست.

جدول شمارۀ 2- شاخص کل بهای کالا و خدمات از سال 1315 تا 1396
د. محاسبه نرخ تورم:
نرخ تورم به صورت درصد تغییرات CPI بین دو دوره زمانی محاسبه میشود: به عنوان نمونه و بر اساس جدول اعلام شده از سوی بانک مرکزی، اگر CPI در سال 1396 حدوداً برابر با 650/109 و در سال 1395 مساوی با 100 باشد، نرخ تورم سالیانه برای سال 1396، 6/9 درصد خواهد بود.
برخی از انواع تورم و مؤلفههای مؤثر بر آنها
تورم میتواند به دلایل مختلفی رخ دهد که برخی از اهم علل افزایش نرخ تورم عبارتند از:
- تورم ناشی از افزایش تقاضا (Demand-Pull Inflation)
این نوع تورم زمانی رخ میدهد که تقاضا برای کالاها و خدمات بیش از ظرفیت تولید اقتصاد باشد. در این حالت، افزایش تقاضا باعث افزایش قیمتها میشود. این تورم معمولاً در دورههایی از رشد اقتصادی قوی رخ میدهد که مصرفکنندگان و کسبوکارها امکان بیشتری برای افزایش مصرف و یا توسعۀ کسب و کار خود دارند. به عنوان نمونه افزایش دستمزدها و کاهش نرخ بهره که باعث افزایش قدرت خرید مردم و در نتیجه افزایش تقاضا برای کالاها و خدمات میشود. - تورم ناشی از افزایش هزینهها (Cost-Push Inflation)
این نوع تورم زمانی اتفاق میافتد که هزینههای تولید افزایش یابند و در نتیجه، تولیدکنندگان قیمت کالاها و خدمات را بالا ببرند. این افزایش هزینه ممکن است ناشی از عوامل مختلفی باشد، از جمله: افزایش قیمت مواد اولیه (مانند نفت، فلزات، گندم و غیره)؛ افزایش دستمزد کارگران؛ افزایش مالیاتها و تعرفههای گمرکی؛ به عنوان مثال، افزایش قیمت سوخت باعث افزایش هزینههای حملونقل و تولید شده و قیمت تمامشده کالاها و خدمات را بالا میبرد. - تورم ناشی از چاپ پول (Monetary Inflation)
این نوع تورم زمانی اتفاق میافتد که بانک مرکزی یک کشور پول بیشتری چاپ کند و به بازار تزریق کند، بدون اینکه تولید کالا و خدمات به همان نسبت افزایش یابد. در نتیجه، مقدار پول در گردش افزایش یافته، اما میزان کالاها و خدمات موجود در اقتصاد ثابت یا کمتر شده که این موضوع موجب افزایش قیمتها میشود. مثلاً اگر دولت برای جبران کسری بودجه، حجم زیادی از پول/ شبه پول بدون پشتوانه چاپ کند، ارزش پولِ ملی کاهش یافته و قیمتها افزایش مییابند.
تفاوتهای این سه نوع تورم در جدول زیر آورده شده است.

به عنوان جمعبندی میتوان گفت که تورم ناشی از افزایش تقاضا معمولاً در شرایط رونق اقتصادی رخ میدهد در حالی که تورم ناشی از افزایش هزینه معمولاً در نتیجه افزایش قیمت مواد اولیه و هزینههای تولید اتفاق میافتد و تورم حاصل از افزایش نقدینگی، معمولاً به دلیل سیاستهای پولی نامناسب دولت و بانک مرکزی به وجود میآید. نکتۀ مهم اینکه، هرکدام از این انواع تورم میتوانند به شکل جداگانه یا ترکیبی رخ دهند و کنترل آنها نیازمند سیاستهای پولی و مالی دقیق است.
رابطه تورم و نرخ ارز
چندی پیش، در دوم دی ماه 1403 عبدالناصر همتی، وزیر اقتصاد، در نشست ارزی کمیسیون اقتصادی مجلس، ضمن سخنان مناقشهبرانگیزی، بیان کرد که: «از ابتدای ۱۴۰۱ تا پایان آذر ۱۴۰۳، بر اساس گزارش بانک مرکزی شاخص قیمتها، ۸/۲ برابر شده بود که اگر تورم آمریکا را از آن کم کنیم شاخص قیمتها حدود ۷/۲ برابر شدهاست. قیمت دلار که در ۱۴۰۱ حدود ۲۷هزار تومان بود باید الان به حدود ۷۳هزار تومان میرسید.» صرفنظر از این حقیقت که وزیر اقصاد کشور در تحلیل خود به سال پایۀ محاسبه نرخ تورم در دو کشور ایران و امریکا توجه نکردهاند، نکتۀ مهمتر آن که ادعا و محاسبات ایشان بر یک پیشفرض کاملاً نادرست استوار است که گویا تورم در ایران پدیدهای مستقل از نرخ دلار است. رابطۀ میان تورم و نرخ ارز، یکی از مباحث کلیدی در اقتصاد کلان است. رابطه بین نرخ ارز و تورم یک رابطه دوسویه است، یعنی هر کدام میتوانند بر دیگری تأثیر بگذارند. این موضوع را از دو جنبه بررسی خواهیم کرد:
الف. تأثیر تغییر نرخ ارز بر تورم (اثر نرخ ارز بر تورم)
افزایش نرخ ارز (یعنی کاهش ارزش پول ملی در برابر دلار یا یورو) میتواند از چند طریق باعث ایجاد یا تشدید تورم در یک کشور شود: نخست، به واسطۀ افزایش هزینه واردات، زیرا در هنگامی که ارزش پول ملی کاهش پیدا میکند، هزینه واردات کالاهای خارجی (مواد اولیه، کالاهای واسطهای، ماشینآلات، و حتی کالاهای مصرفی) بیشتر میشود. این افزایش هزینه، قیمت تمامشده تولید را بالا برده و در نهایت باعث تورم ناشی از افزایش هزینه (Cost-Push Inflation) میشود. دیگر آنکه افزایش نرخ ارز بر روی قیمت بعضی از کالاهای تولید داخل نیز اثر افزایشی دارد زیرا در برخی کشورها، حتی کالاهای داخلی نیز به نرخ ارز وابسته هستند. مثلاً اگر نرخ دلار افزایش یابد، برخی تولیدکنندگان داخلی که به واردات وابستهاند، نظیر خودروسازان، قیمت محصولاتشان را افزایش خواهند داد، علاوه بر این میتوان به محصولات پتروشیمی اشاره نمود که بهای فروش محصولات خود در داخل کشور را بر حسب قیمت FOB خلیج فارس و به صورت دلاری محاسبه میکنند. از سوی دیگر، وقتی نرخ ارز افزایش مییابد، مردم انتظار دارند که تورم هم بالا برود. در نتیجه، افزایش قیمتها بهصورت پیشگیرانه و روانی اتفاق میافتد. بهعنوان مثال، به مقالۀ پرابات پاتنایک در همین شماره توجه فرمایید که میگوید «یک دلیل مهم برای افزایش مداوم نرخ تورم هند در مقایسه با ایالات متحده، کاهش ارزش روپیه در مقابل دلار است».
ب. تأثیر تورم بر نرخ ارز (اثر ضعف اقتصادی بر کاهش ارزش پول ملی)
از طرف دیگر، اگر یک کشور دچار ضعف اقتصادی باشد، کاهش ارزش پول ملی معمولاً یک نتیجه طبیعی این وضعیت خواهد بود. که دلایل آن عبارتند از:
- کاهش قدرت خرید و بیاعتمادی به پول ملی: وقتی تورم در یک کشور بالا باشد، مردم تمایل دارند پول خود را به داراییهای امنتر (مثل دلار، طلا یا رمزارزها) تبدیل کنند. این موضوع باعث افزایش تقاضا برای ارزهای خارجی و در نتیجه کاهش ارزش پول ملی میشود.
- افزایش نقدینگی و چاپ پول بیپشتوانه: اگر دولت برای جبران کسری بودجه اقدام به چاپ پول کند، عرضه پول داخلی افزایش مییابد، درحالیکه تقاضای آن تغییری نکرده است. در نتیجه، ارزش پول کاهش پیدا کرده و نرخ ارز بالا میرود.
- کاهش تولید و رشد اقتصادی اندک: اگر اقتصاد کشوری نتواند کالا و خدمات رقابتی تولید کند و صادرات پایینی داشته باشد، درآمد ارزی کشور کاهش مییابد. این موضوع باعث کاهش ارزش پول ملی و افزایش نرخ ارز میشود.
بنابر آنچه که گفته شد و برخلاف استدلال تقلیلگرایانۀ وزیر اقتصاد، رابطه بین تورم و نرخ ارز یک رابطه ساده و خطی نیست. در برخی کشورها، کاهش ارزش پول ملی باعث ایجاد تورم میشود (مانند ایران در دورههای جهش ارزی). در بعضی از موارد دیگر، تورم بالا و ضعف اقتصادی باعث کاهش ارزش پول ملی میشود.
در کشورهای با اقتصادهای قوی و باثبات تغییرات نرخ ارز معمولاً تأثیر زیادی بر تورم داخلی ندارد، چون اقتصادشان متکی به تولید داخلی است. اما در کشورهای درحالتوسعه که وابستگی زیادی به واردات دارند، تغییر نرخ ارز تأثیر مستقیم و شدیدی بر تورم دارد. بنابراین میتوان گفت که اگراقتصاد یک کشور وابستگی زیادی به واردات داشته باشد، افزایش نرخ ارز باعث تورم میشود که این مسئله دربارۀ اقتصاد ایران صادق است و در مقابل نیز ضعف اقتصادی و تورم بالا عملاً به کاهش ارزش پول ملی و افزایش نرخ ارز منجر شده است و این دو پدیده اثری تشدیدکننده برهم دارند.
تورم در ایران
در دهههای اخیر، تورم در اقتصاد ایران بهعنوان یکی از چالشهای اساسی مطرح بوده است. مطالعات متعددی به بررسی عوامل مؤثر بر تورم در این دوره پرداختهاند که نشان میدهد تورم در ایران نتیجه ترکیبی از چندین مولفه است:
اول. رشد نقدینگی و پایه پولی: یکی از عوامل اصلی تورم در ایران، افزایش نقدینگی است که عمدتاً ناشی از کسری بودجه دولت و تأمین آن از طریق استقراض از بانک مرکزی است. این امر منجر به افزایش پایه پولی و در نهایت تورم میشود.
دوم. نوسانات نرخ ارز: نوسانات و افزایش نرخ ارز تأثیر مستقیمی بر قیمت کالاهای وارداتی دارد که این امر به افزایش هزینههای تولید و در نتیجه تورم منجر میشود. مطالعات نشان میدهد که کاهش ارزش پول ملی در برابر دلار و افزایش نرخ ارز از عوامل مؤثر بر تورم در کوتاهمدت و بلندمدت هستند.
سوم. تحریمهای اقتصادی: تحریمهای بینالمللی با محدود کردن دسترسی ایران به منابع ارزی و کاهش صادرات نفت، منجر به کاهش درآمدهای ارزی و افزایش نرخ ارز شدهاند که این امر به تورم دامن زده است. تحقیقات نشان میدهد که تحریمها با افزایش نرخ ارز و کسری بودجه دولت، نقش مهمی در افزایش تورم داشتهاند.
چهارم. انتظارات تورمی: انتظارات تورمی نیز سهم غیرقابل انکاری در شکلگیری تورم دارند. سیاستهای مختلف و بعضاً متضاد دولتها، تورم بالا، تحریمها و ضعف تولید در بازارهای جهانی، منجر به افزایش انتظارات تورمی در بین فعالان اقتصادی شده است که این امر خود به افزایش تورم منجر میشود.
بنابراین، تورم در اقتصاد ایران نتیجه ترکیبی از عوامل مختلف است که شامل افزایش نقدینگی، نوسانات نرخ ارز، تحریمهای اقتصادی و انتظارات تورمی میشود. برای کنترل و کاهش تورم، نیاز به سیاستهای جامع و هماهنگ در حوزههای پولی، مالی و ارزی است که مهمترین آنان کوشش برای کماثر کردن تحریمها، تقویت تولید ملی، کاهش وابستگی به واردات، جهتگیری صحیح در بخش سیاست خارجی و اتخاذ سیاستهای مردمی در سپهر اقتصاد داخلی است.
افزایش سطح دستمزدها و تورم در ایران
میزان دستمزد در اقتصاد تأثیر زیادی بر رشد اقتصادی، سطح تورم و رکود دارد. افزایش یا کاهش دستمزدها میتواند پیامدهای گستردهای در تولید، مصرف و اشتغال داشته باشد.
در مذاکرات «سهجانبۀ» مربوط به افزایش حداقل دستمزد، دو دیدگاه اصلی وجود دارد که از سوی نمایندگان طبقات اجتماعی و اقتصاددانان ارگانیکشان ارائه میشوند:
یک. استدلال دولت و کارفرمایان: افزایش دستمزد باعث تورم میشود
کارفرمایان استدلال میکنند که افزایش حقوق، هزینه تولید را بالا میبرد و این هزینهها در قیمت نهایی کالا و خدمات منعکس میشود که میتواند موجب تورم ناشی از فشار هزینه (Cost-Push Inflation) شود. همچنین اینان و هوادارانشان مدعی میشوند که اگر حقوقها بیش از حد افزایش یابد، کارفرمایان توانایی پرداخت آن را ندارند و ممکن است ناگزیر از تعدیل نیرو یا کاهش استخدامهای جدید شوند. در حقیقت اینان تهدید میکنند که برای جبران افزایش دستمزد، قیمت محصولات خود را افزایش داده و یا نیروی کار خود را کاهش خواهند داد و حتی در نمونههایی، به دلیل افزایش هزینههای نیروی کار، میتوانند از تکنولوژی جایگزین استفاده کنند که از نظر آنان این امر به کاهش فرصتهای شغلی منجر خواهد شد. علاوه بر این دو مورد، هواداران سرکوب دستمزدها بر پدیدۀ مارپیچ تورمی تاکید میکنند که بر اساس این استدلال افزایش حقوقها، باعث افزایش تقاضای مردم برای کالا و خدمات شده و این افزایش تقاضا، میتواند سطح قیمتها را بیشتر بالا ببرد (تورم ناشی از فشار تقاضا) Demand-Pull Inflation.
دو. استدلال نمایندگان کارگری: افزایش دستمزد باعث حفظ قدرت خرید و رونق اقتصادی میشود
طرف موسوم به نمایندۀ کارگری به درستی و با استناد به آمارهای رسمی، مدعی هستند که در بسیاری از سالها، افزایش حقوق از تورم کمتر بوده است و بنابراین افزایش دستمزدها فقط جبران کاهش قدرت خرید کارگران است و نه یک عامل تورمزا علاوه براین، افزایش حقوق میتواند به افزایش تقاضای موثر بیانـجامد. به بیان دیگر اگر حقوق کارگران افزایش پیدا کند، قدرت خرید آنها بالا میرود و این موضوع میتواند باعث افزایش مصرف و در نتیجه رشد اقتصادی شود، که طبیعتاً میتواند اثرات مثبت بر تولید و اشتغال داشته باشد. همچنین میتوان استدلال کرد که در بسیاری از مواقع، شرکتها سود بالایی دارند اما افزایش حقوق کارگران را بهعنوان یک تهدید میبینند، درحالیکه افزایش دستمزدها میتواند به عدالت اجتماعی و افزایش بهرهوری کارگران کمک کند. افزایش دستمزدها از طریق افزایش انگیزه و رفاه کارگران، موجب ارتقای بهرهوری شده و نهایتاً به رشد اقتصادی کمک خواهد کرد. کاهش نابرابری و در نتیجه کم شدن فاصلۀ طبقاتی میتواند از تشدید شکافهای اجتماعی پیشگیری نماید. افزایش دستمزدها از طریق افزایش مصرف داخلی میتواند وابستگی کشور به صادرات را کاهش داده و اثرات تحریمها را در برخی از حوزهها کمتر کند.
در حقیقت میتوان گفت که اثر افزایش حقوق بر تورم بستگی به شرایط اقتصادی یک کشور دارد: اگر افزایش حقوق از بهرهوری و رشد اقتصادی بیشتر باشد میتواند باعث تورم شود اما اگر افزایش حقوق فقط جبران کاهش قدرت خرید باشد، اثر تورمی چندانی نخواهد داشت و همچنین سرکوب دستمزدها موجب کاهش قدرت خرید مردم شده و تقاضای موثر کل در اقتصاد کاهش یافته و موجب رکود بیشتر خواهد شد.
جمعبندی
چنانکه پیشتر ذکر شد، مطالعات اقتصادی نشان میدهند که افزایش دستمزدها تأثیر قابلتوجهی بر تورم در ایران نداشته است. صرف نظر از اثرات تحریمهای ظالمانه، عوامل مهم دیگری که در ایجاد تورم نقش دارند عبارتند از:
۱. کسری بودجه دولت و نحوه تأمین آن: یکی از مهمترین عوامل تورم در ایران، کسری بودجه دولت و روشهای تأمین آن است. زمانی که دولت با کسری بودجه مواجه میشود و این کسری را از طریق افزایش پایه پولی یا استقراض از بانک مرکزی تأمین میکند، حجم پول در گردش افزایش یافته و منجر به تورم میشود.
۲. افزایش حجم نقدینگی: عدم تناسب بین رشد نقدینگی و اندازه اقتصاد باعث افزایش تقاضا برای کالاها و خدمات میشود که نتیجه آن افزایش قیمتها و تورم است. بهعنوانمثال، اگر حجم نقدینگی در اقتصادی بیش از ظرفیت تولیدی آن باشد، تقاضای اضافی ایجاد شده و قیمتها افزایش مییابد.
۳. نوسانات نرخ ارز: افزایش نرخ ارز (کاهش ارزش پول ملی) تأثیر مستقیمی بر قیمت کالاهای وارداتی دارد. با افزایش نرخ ارز، هزینه واردات بالا رفته و این امر منجر به افزایش قیمتها در بازار داخلی میشود که به تورم دامن میزند.
۴. سیاستهای پولی و مالی: سیاستهای انبساطی پولی، مانند کاهش نرخ بهره یا افزایش اعتبارات بانکی، میتواند منجر به افزایش تقاضا و در نتیجه افزایش قیمتها شود. به عنوان نمونه، کمتر بودن نرخ بهره بانکی از تورم، تقاضا برای دریافت وام و اعتبارات را افزایش داده که خود به خود به افزایش قیمتها میانـجامد.
نکتۀ جالب آن که بسیاری از هواداران سرکوب دستمزدها، که در سپهر سیاست خارجی به درستی بر اهمیت موضوع تحریمها بر اقتصاد تاکید میکنند – و البته به طرزی مغرضانه تمام مشکلات اقتصادی را به گردن تحریمها انداخته و تنها راه چاره را هم تسلیم بیقید و شرط به خواستههای آمریکا و نهادهای امپریالیستی میدانند- در هنگامۀ تعیین دستمزدها به ناگاه، به یاد میآورند که افزایش مزدها میتواند اثرات تورمی جدی داشته باشد! توگویی که یگانه عنصر تورمزا هزینۀ نیروی کارِ مزدبگیران است؛ هواداران این مهملات، تمایلی به بررسی این واقعیت عریان ندارند که سرکوب دستمزدها در تمام سالیان اخیر کوچکترین تاثیری بر کاهش نرخ تورم نداشته است.
حضرات در همان حال که نگران افزایش نرخ تورم به علت بالارفتن دستمزدها هستند، به طرزی مضحک خواستار آزادسازی قیمتها و حذف یارانهها شده و پیشبرد سیاستهای شوکدرمانی و جراحی سفره تودههای زحمتکشان را خواستار میشوند! هواداران کارفرمایان و اقتصاددانان ارگانیکشان استدلال میکنند که سرکوب دستمزدها، علاوه بر آن که از مشکلات پیشگفته جلوگیری میکند، دارای مزایایی زیادی نیز هست: از جملۀ این ادعاها میتوان به کاهش هزینۀ تولید و رقابتیتر شدن محصولات اشاره کرد؛ گویا تا کنون حضرات با تمام قانونشکنیهایشان در زمینۀ افزایش دستمزدها، تمامی قلل اقتصادی جهان را فتح کرده و بازارهای دنیا را به تصرف درآوردهاند و اکنون نگران افزایش هزینۀ تولید و از دست رفتن بازارها هستند!
باجخواهیها و میزان نفوذ اتحادیههای کارفرمایان، اتاقهای بازرگانی و … در حوزههای تصمیمسازی در کنار عدم تشکّلیابی کارگران و مزدبگیران شرایطی را رقم زده که اینان بهرغم سالها نقض صریح قانون کار کشور، نه تنها به هیچ مرجعی پاسخگو نیستند بلکه با وقاحتی مثالزدنی به دنبال مقرراتزدایی هرچه بیشتر و حذف بندهای مهم قانون کار، مهر و نشان خود را بر برنامۀ توسعۀ هفتم نیز کوبیدهاند و در یکی از تازهترین هنرنماییهای هوادارانشان – که تا کنون موفق به پیشبرد آن نشدند- کوشیدند تا مسئولیت تعیین حداقل حقوق از شورای عالی کار به مجلس منتقل گردد.
به هر روی، بررسی آمارها و عملکرد سالیان اخیر، ابطالکنندۀ ادعاهای اینان مبتنی بر اثرات تورمی دستمزدهاست زیرا نگاهی به میزان افزایش حقوقها در مقایسه با نرخ تورم در سالیان اخیر، نشانگر این است که به رغم عدم تطابق افزایش مزدها با تورم، کماکان شاهد تورم سرسامآور ناشی از تحریمها و سیاستهای نئولیبرالی هستیم. سیاستهای اقتصادی تجویز شده از سوی «پزشکان و جراحان» اقتصادی هوادار کارفرمایان وسرمایهداران، مبتنی بر حذف یارانهها، خصوصیسازی، آزادسازی قیمتها، شوکدرمانی و … نه راه حل مسئلۀ اقتصاد کشور که دقیقاً خود مشکل است!
- Classification of individual consumption by purpose

